• Предмет: Геометрия
  • Автор: dmitrenkoegor45
  • Вопрос задан 2 года назад

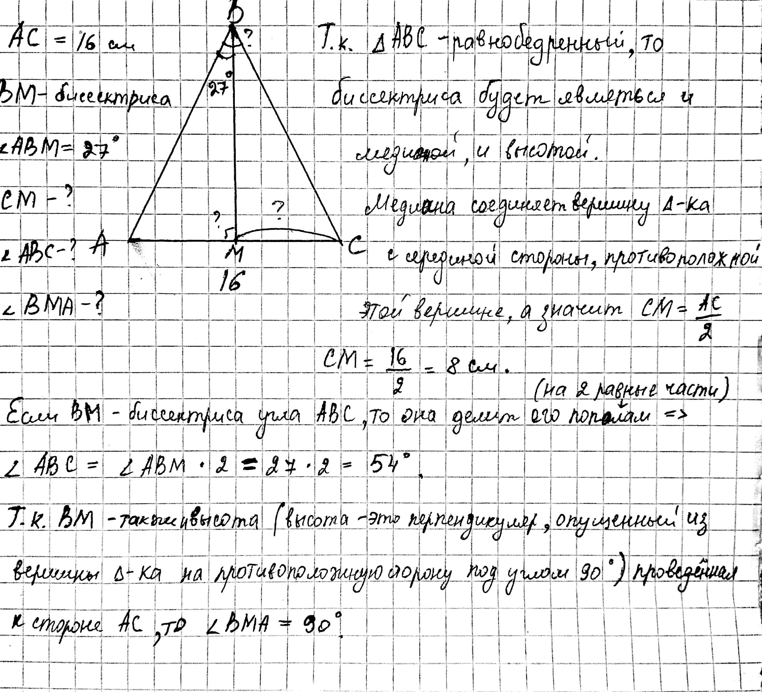
В равнобедренном треугольнике ABC с основанием AC=16 см, отрезок BM биссектрисса,угол ABM=27 градусов.Найдите CM,угол ABC,угол BMA.

Ответы

Ответ дал: hiroshi042
1

Ответ:

на фото

Объяснение:

помогла, чем смогли , думаю верно

Приложения:
Вас заинтересует