Ответы
Ответ дал:
1
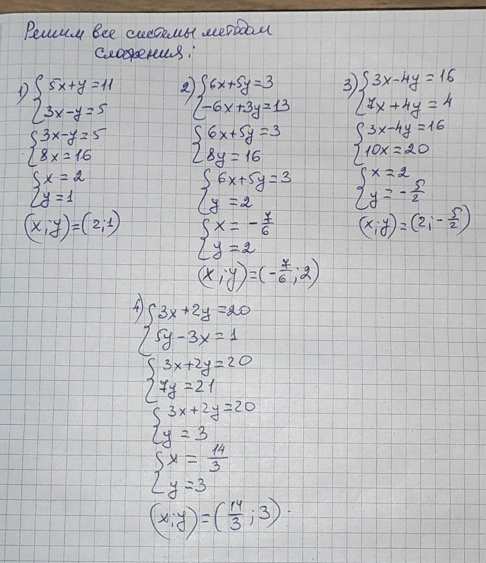
Ответ:
............
Объяснение:
............
Приложения:

hover8391:
спасибо огромное)
Вас заинтересует
1 год назад
1 год назад
2 года назад
2 года назад
8 лет назад