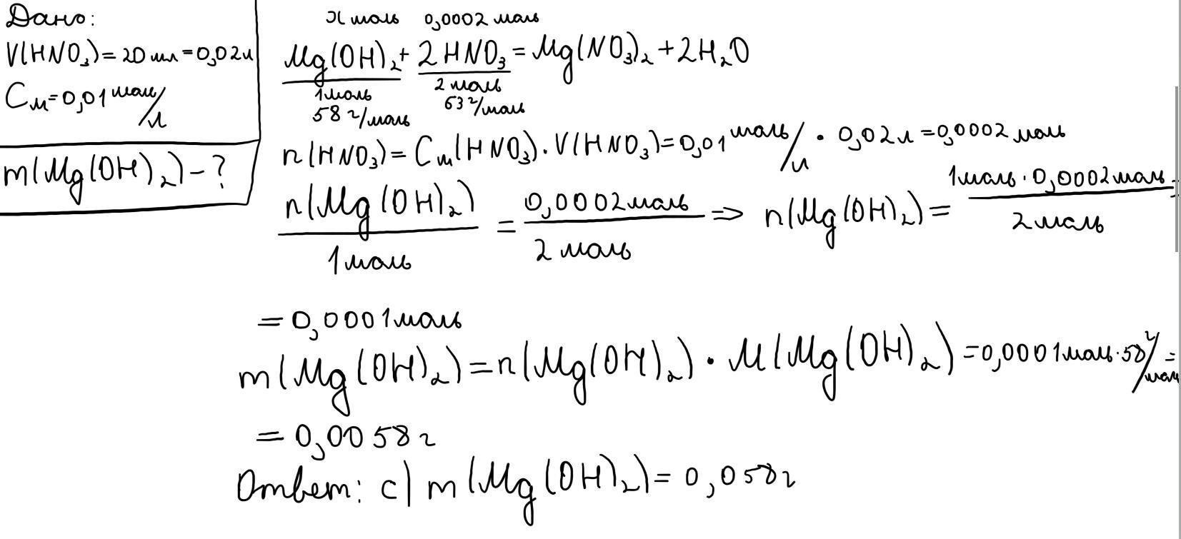
6. На нейтрализацию некоторого объема гидроксида магния ушло 20 мл С. = 0,01 моль/л раствора азотной кислоты. Определите массу гидроксида магния в растворе. а) 0,1000 г b) 0,0200 г c) 0,0580 d) 0,0356 г е) 0,4567 г
Ответы
Ответ дал:
1
Удачи!!!!!!!!!!!!!!!!!!!!!!!!!!!!!!!!!
Приложения:

Вас заинтересует
1 год назад
1 год назад
1 год назад
2 года назад
8 лет назад
8 лет назад