• Предмет: Алгебра
  • Автор: Geoglee
  • Вопрос задан 1 год назад

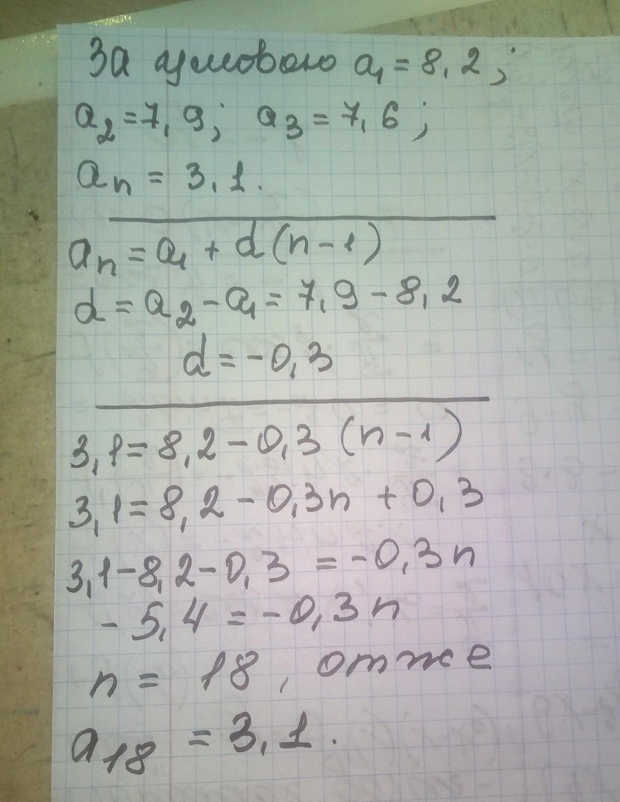
Знайдіть номер члена арифметичної прогресії 8,2; 7,9; 7,6; ..., який дорівнює 3,1.

Ответы

Ответ дал: manyny06
1

Ответ:

решение смотри на фотографии

Приложения:
Вас заинтересует