• Предмет: Математика
  • Автор: klelik16
  • Вопрос задан 2 года назад

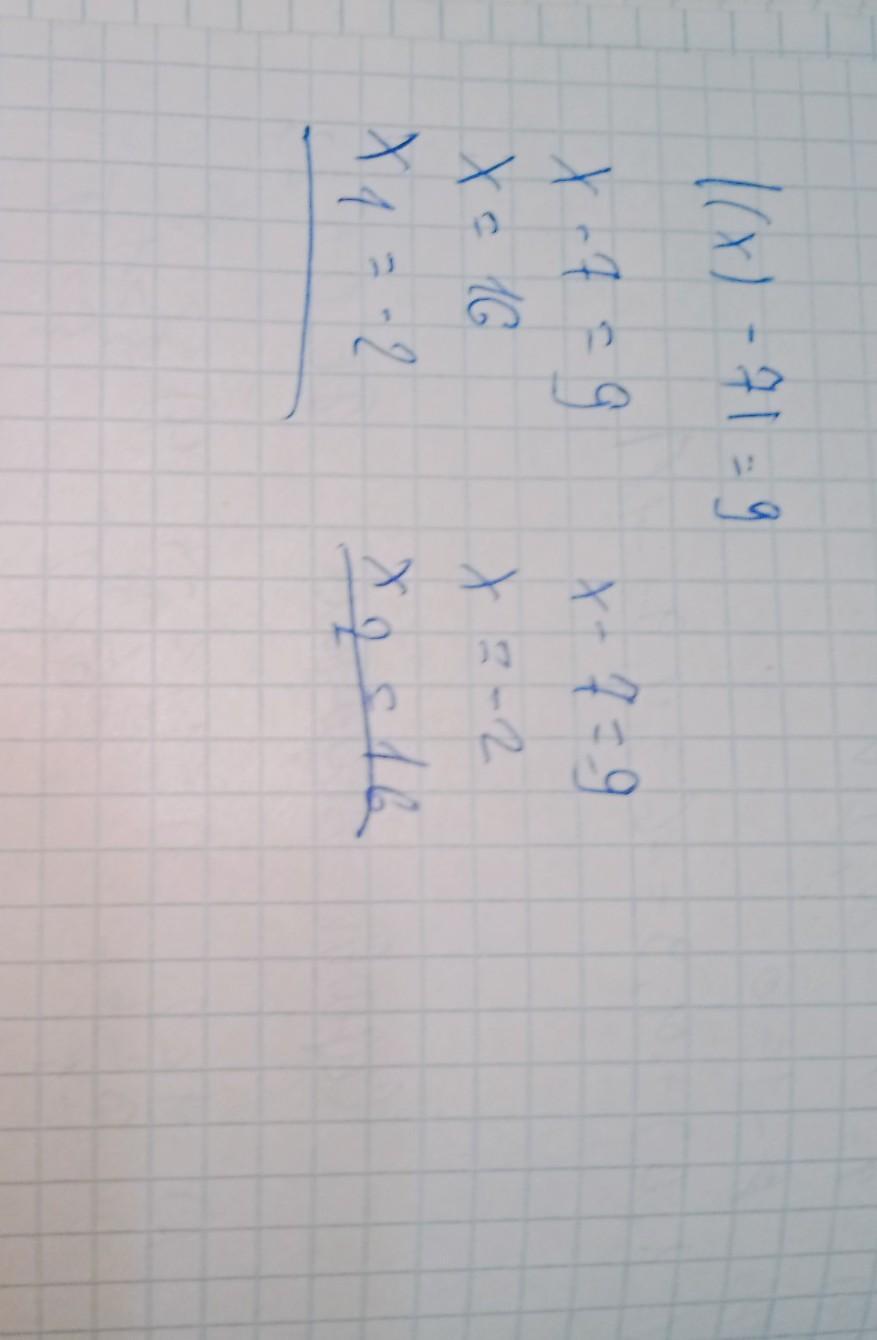
|[x]-7|=9
Потрібна повна відповідь

Ответы

Ответ дал: mkudajbergen900
1

Ответ:

вот всё!

Пошаговое объяснение:

это правильно (если да)

Приложения:
Вас заинтересует