• Предмет: Химия
  • Автор: c1stax
  • Вопрос задан 2 года назад

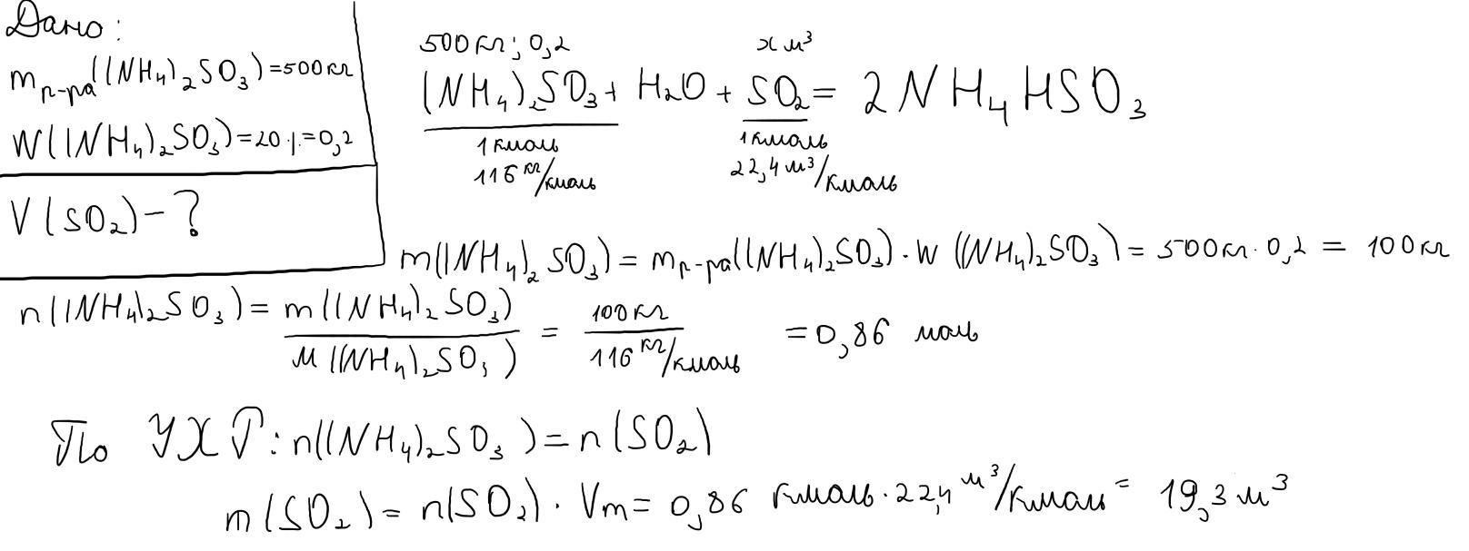
Для поглинання сульфур 4 оксиду з димових газів застосовують розчин амоній сульфіту (NH4)2SO3. Відбувається реакція (NH4)2SO3 + H2O + SO2 = 2NH4HSO3. Який об'єм сульфур 4 оксиду поглине 500 кг розчину з масовою часткою амоній сульфіту 20%(н.у.)? Розв'язок повністю, дякую.​

Ответы

Ответ дал: Abubachir555
1

Удачи!!!!!!!!!!!!!!!

Приложения:

c1stax: Спасибо большое!
Ответ дал: dyexfnf
1

Ответ:

Объяснение:

Дано:

m(р-нNH4)2SO3) = 500 кг = 500000 г

w(NH4)2SO3) = 20% або 0,2

Найти: V(SO2) - ?

Знайдемо масу амоній сульфіту в розчині:

m(NH4)2SO3) = m(р-нNH4)2SO3) * w(NH4)2SO3) =

500000 * 0,2 = 100000 г

М(NH4)2SO3 = 14 * 2 + 1 * 8 + 32 + 16 * 3 = 116 кг/кмоль

Складемо РХР:

100000г                      х л

(NH4)2SO3 + H2O + SO2 = 2NH4HSO3

n = 1 моль                  n = 1 моль

M = 116 г/моль          Vm = 22,4 л/моль

m = 116 г                    V = 22,4 л

V(SO2) = 100000 * 22,4 : 116 = 19310 л


c1stax: Спасибо большое!
dyexfnf: Пожалуйста
Вас заинтересует