Ответы
Ответ дал:
1
Ответ:
Пошаговое объяснение:
Приложения:

VоЛk:
господи, а раскрывать скобки зачем... просто подставить, всё
Ответ дал:
0
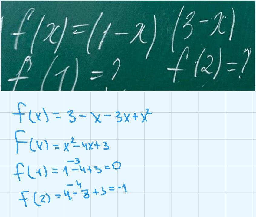
f(x) = (1-x)(3-x)
f(1) = (1-1)(3-1) = 0 × 2 = 0
f(2) = (1-2)(3-2) = - 1 × 1 = - 1
Вас заинтересует
1 год назад
1 год назад
1 год назад
2 года назад
2 года назад
8 лет назад
8 лет назад