Ответы
Ответ дал:
0
Ответ:
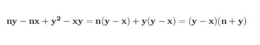
Группируем по два слагаемых и выносим общие множители .
Получаем разложение на множители .
Приложения:

masha01021:
здравствуйте помогите пожалуйста решить задачу
Вас заинтересует
1 год назад
1 год назад
1 год назад
2 года назад
8 лет назад
8 лет назад