• Предмет: Математика
  • Автор: i4819972
  • Вопрос задан 2 года назад

СРОЧНО!!!!! дам 40 балов​

Приложения:

Ответы

Ответ дал: iramazurk
0

Пошаговое объяснение:

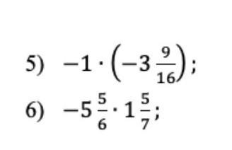
5

-1 * (-3 9/16) = 1 * 3 9/16 = 3 9/16

6

-5 5/6 * 1 5/7 = -(5 5/6 * 1 5/7) = -(35/6 * 12/7) =

-(5/1 * 2/1) = -10/1 = -10

Ответ дал: сок111213
0

5) (-)×(-)=(+)

 - 1 \times ( - 3 \frac{9}{16} ) = 3 \frac{9}{16}

6)

 - 5 \frac{5}{6}  \times 1 \frac{5}{7}  =  -  \frac{ 35 \times 12}{6 \times 7}  =  - 5 \times 2 =  - 10

Вас заинтересует