Ответы
Ответ дал:
0
Ответ:
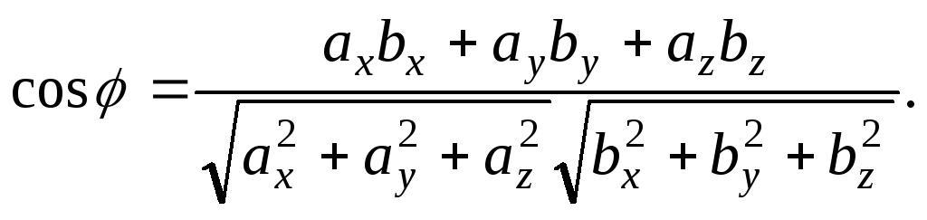
cd=-15-48= -63
[c]=корінь 5 в квадраті + -12 в квадраті= 13
[d]=корінь -3 в квадраті + 4 в квадраті= 5
косинус(формула но фото)= -3,5
Приложения:

FireStormTV:
формула розрахована на систему х у z ,в тебе х у тому просто роби щ того що маєш без z
Вас заинтересует
1 год назад
1 год назад
1 год назад
1 год назад
2 года назад
2 года назад
8 лет назад