• Предмет: Алгебра
  • Автор: viktoria2487
  • Вопрос задан 2 года назад

Помогите плиз ! Спасибо большое

Приложения:

Ответы

Ответ дал: NNNLLL54
2

Ответ:

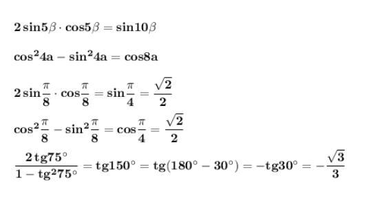
Применяем формулы тригонометрии , формулы двойных углов, формулы приведения .

\bf 2\, sin5\beta \cdot cos5\beta =sin10\beta \\\\cos^24a-sin^24a=cos8a\\\\2\, sin\dfrac{\pi }{8}\cdot cos\dfrac{\pi}{8}=sin\dfrac{\pi }{4}=\dfrac{\sqrt2}{2}\\\\cos^2\dfrac{\pi }{8}-sin^2\dfrac{\pi }{8}=cos\dfrac{\pi }{4}=\dfrac{\sqrt2}{2}\\\\\dfrac{2\, tg75^\circ }{1-tg^275^\circ }=tg150^\circ =tg(180^\circ -30^\circ )=-tg30^\circ =-\dfrac{\sqrt3}{3}

Приложения:

viktoria2487: Спасибо большое ☺️
Вас заинтересует