• Предмет: Физика
  • Автор: karolina2483
  • Вопрос задан 1 год назад

СРОЧНО ПОМОГИТЕ ПОЖАЛУЙСТА

Приложения:

Ответы

Ответ дал: kovalevvova374
1

Ответ:

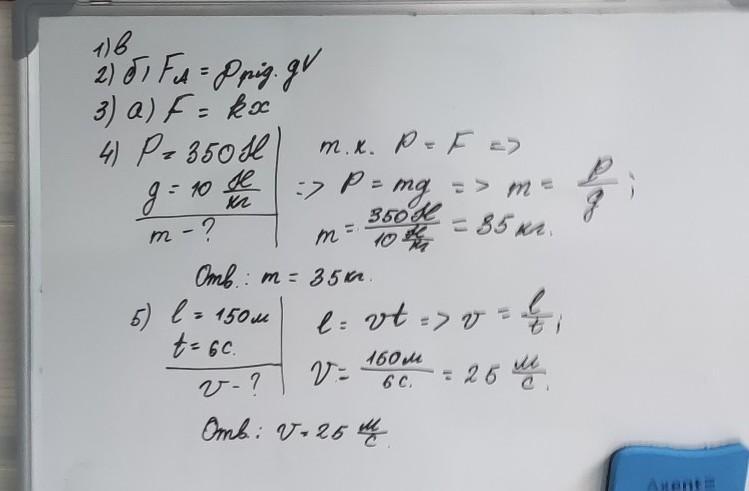
ответ смотри на фотографии. дай пожалуйста корону умоляю!!!

Приложения:
Вас заинтересует