• Предмет: Математика
  • Автор: mpolinaegorovna
  • Вопрос задан 2 года назад

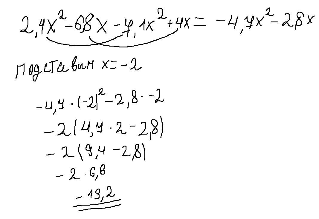
Можете помочь с 5 , а то я не понимаю

Приложения:

Ответы

Ответ дал: senjykidzuko
1

Ответ:

Пошаговое объяснение:

Приложения:

mpolinaegorovna: Спасибо большое за помощь
Вас заинтересует