• Предмет: Химия
  • Автор: svecandrij496
  • Вопрос задан 2 года назад

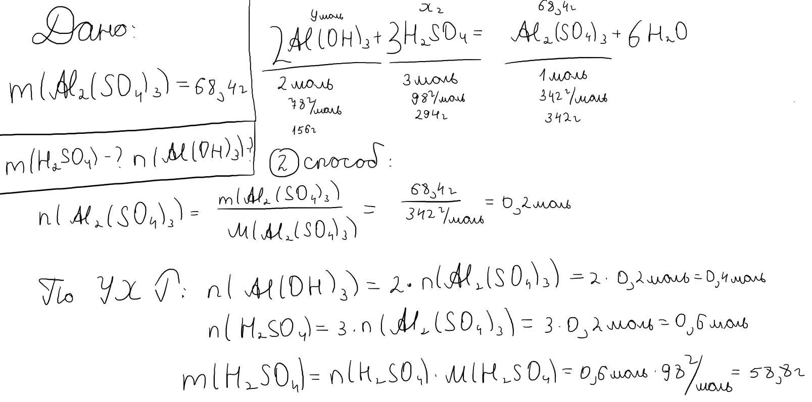
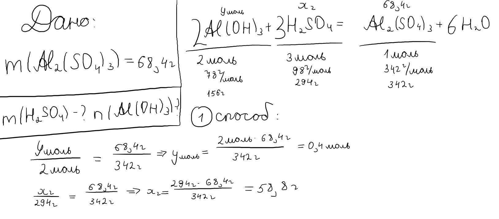
Яка маса сульфатної кислоти та кількість речовини алюміній гідроксиду потрібно взяти, щоб випав осад масою 68,4 г?
Срочно​

Ответы

Ответ дал: Abubachir555
0

Откуда у вас такие задачи? Тут осадок растворяется, а не образуется. Я решил-бумага стерпит. Выбирай удобный тебе способ

Приложения:
Вас заинтересует