• Предмет: Математика
  • Автор: SvetozarDinosaur
  • Вопрос задан 2 года назад

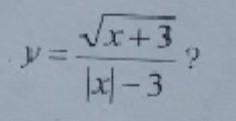
Знайти область визначення функції ​

Приложения:

Ответы

Ответ дал: S1SA
0

Ответ:

x є (-3;3)U(3;+∞)

Пошаговое объяснение:

Під коренем має стояти невід'ємне число тому х≥3. Знаменник не має дорівнювати 0, тому х≠3 і х≠-3. Отримуємо, що х>-3 і х≠3.

Вас заинтересует