Ответы
Ответ дал:
1
8.Б)ZnO-Д)H2CO3-А)Fe(OH)3-В)AlCl3
9.FeCl3-оксид железа(III)
H3PO4-ортофосфорная кислота
MgO-оксид магния
Ca(OH)2-гашеная известь; гидроксид кальция
10.Cu(OH)2=CuO+H2O
P2O5+3H2O=2H3PO4
2H3PO4+3Ca(OH)2=Ca3(PO4)2+6H2O
Zn+2HCl=ZnCl2+H2
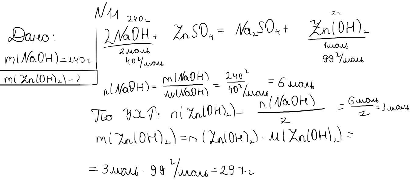
Приложения:

Вас заинтересует
1 год назад
2 года назад
8 лет назад
8 лет назад