• Предмет: Химия
  • Автор: daniilvoda5
  • Вопрос задан 2 года назад

ДАЮ 100 БАЛОВ
1. Вкажіть групу речовин, яка містить тільки луги:

А) Ba(OH) 2 , KOH, Zn(OH) 2 Б) Fe(OH) 3 , KOH , Ca(OH) 2 В) NaOH, Mg(OH) 2 , Cu(OH) 2 Г) Ba(OH) 2 , KOH, NaOH

2. Вкажіть рівняння реакції обміну:

А) 2HCl + CuO= CuCl 2 + H 2 O Б) Ca + 2H 2 O = Ca(OH) 2 + H 2

В) SO 3 + BaO = BaSO 4 Г) 2 KClO 3 = 2KCl + 3O 2

3. Вкажіть формулу ферум (III) нітрату

А) Fe(NO 2 ) 2 Б)Fe 2 (SO 4 ) 3 В) Fe(NO 3 ) 3 Г) Fe(OH) 3

II

4. Вкажіть кислоту, якій відповідає кислотний залишок CrO 4 :

А) HCrO 4 Б) H 2 Cr 2 O 7 В) H 2 CrO 4 Г) H 3 CrO 4

5. Вкажіть індикатор, який змінює свій колір тільки під дією лугу :

а) універсальний індикатор; б) фенолфталеїн; в) метилоранж г) лакмус

6. Вкажіть правильне визначення реакції нейтралізації:

а) реакція нейтралізації – це реакція між основним і кислотним оксидом;

б) реакція нейтралізації – це реакція між основним оксидом і кислотою;

в) реакція нейтралізації – це реакція між кислотним оксидом і лугом

г) реакція нейтралізації – це реакція між основою і кислотою

7. Вкажіть формулу оксиду, який спричиняє утворення кислотних опадів:

а) СО б) SiO 2 в) SO 2 г) Li 2 O

У завданнях 8 – 10 – декілька правильних відповідей
8. Вкажіть речовини , з якими реагує цинк гідроксид:

а) вода; б) силіцій (IV) оксид; в) алюміній хлорид г) хлоридна кислота д) калій гідроксид е) кисень

9. Вкажіть реакції , які можна використовувати для добування солей

А) взаємодія основних оксидів з кислотами Б) взаємодія неметалів з металами

В) взаємодія основ з водою Г) взаємодія металів з розчинами кислот

Д) взаємодія кислотних оксидів з кислотами Е) взаємодія металів з водою

10. Вкажіть метали, які заміщують Гідроген в розчинах кислот:

а) Mg, б) Ag в) Pb г) Hg д) Cu е) Cr

11. Встановіть відповідність між оксидом і основою, кислотою , амфотерним гідроксидом, що йому відповідає

(усього 4 бали):

1) CuO а) H 3 PO 3

2) SO 3 б) H 2 SO 4

3) SnO 2 в) Sn(OH) 2

4) P 2 O 3 г) H 3 PO 4

д) Cu(OH) 2

е) Sn(OH) 2

є) H 2 SO 3

ж) CuOH

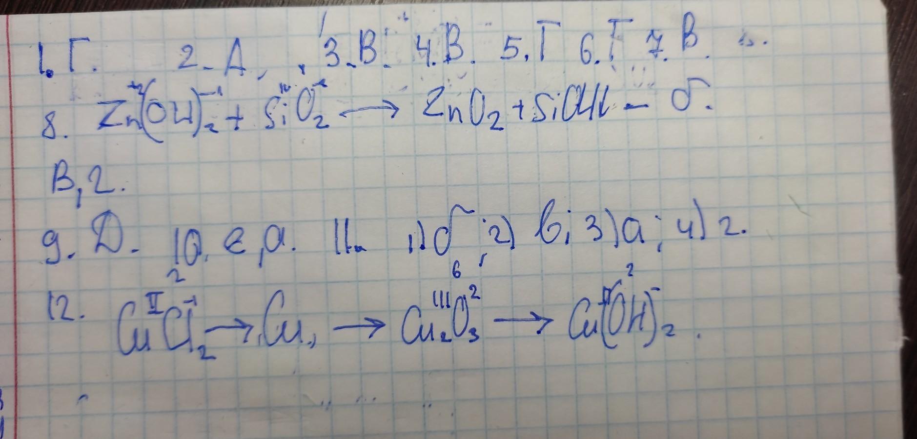
12. Установіть генетичний ланцюжок добування основи

А) купрум ( II) хлорид Б) мідь В) купрум (II) оксид Г) купрум (II) гідроксид

Складіть рівняння відповідних реакцій, вкажіть тип і умови перебігу реакцій. Назвіть речовини

ДАЮ 100 БАЛОВ

Ответы

Ответ дал: borisenkolejla15
0

оооооооооооооооооооло

Приложения:
Вас заинтересует