• Предмет: Алгебра
  • Автор: pqgrcy6d6y
  • Вопрос задан 2 года назад

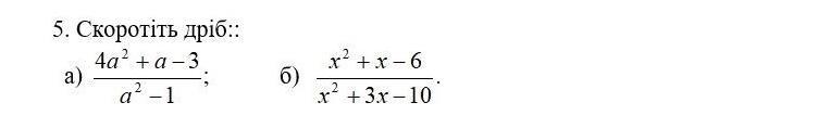
Помогите пожалуйста. Даю 15 балов

Приложения:

Ответы

Ответ дал: larisaserova53
0

Ответ:

Смотри решение на фото..

Приложения:
Вас заинтересует