• Предмет: Математика
  • Автор: stalker200503owmxkl
  • Вопрос задан 2 года назад

Выберите правильный ответ

Приложения:

Ответы

Ответ дал: qulievaruqayya61
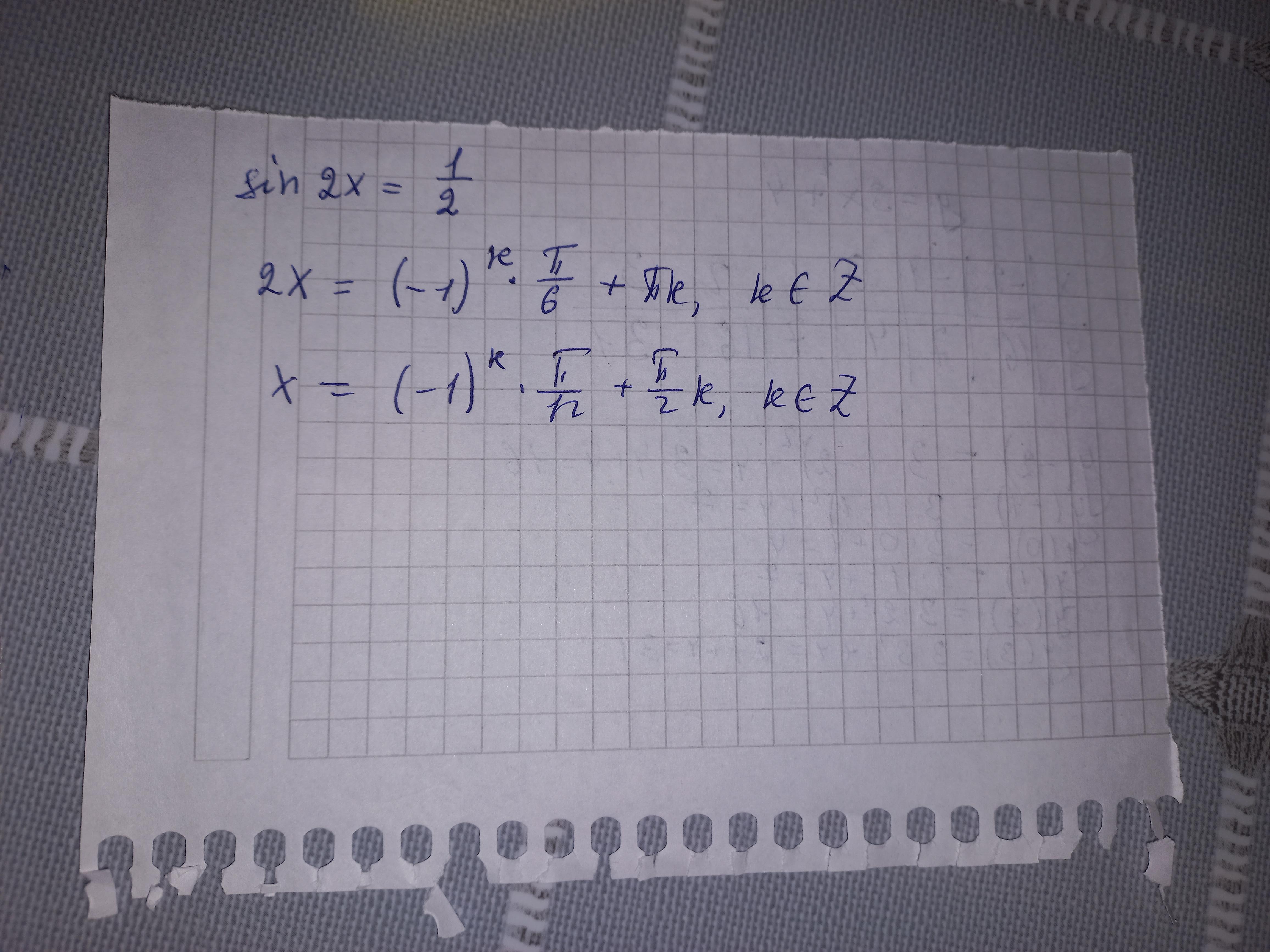
1

Ответ:

Пошаговое объяснение:

На фото

Приложения:

qulievaruqayya61: Ответ d
stalker200503owmxkl: Спасибо, можешь помочь с ещё одним заданием в профиле?
qulievaruqayya61: Да, конечно
qulievaruqayya61: А можете пожалуйста сюда отправить задание, просто я не привыкла ещё к этому сайту, не знаю как найти то задание, которое вы хотите чтобы я решила ;)
Вас заинтересует