• Предмет: Алгебра
  • Автор: popovchiktop13
  • Вопрос задан 2 года назад

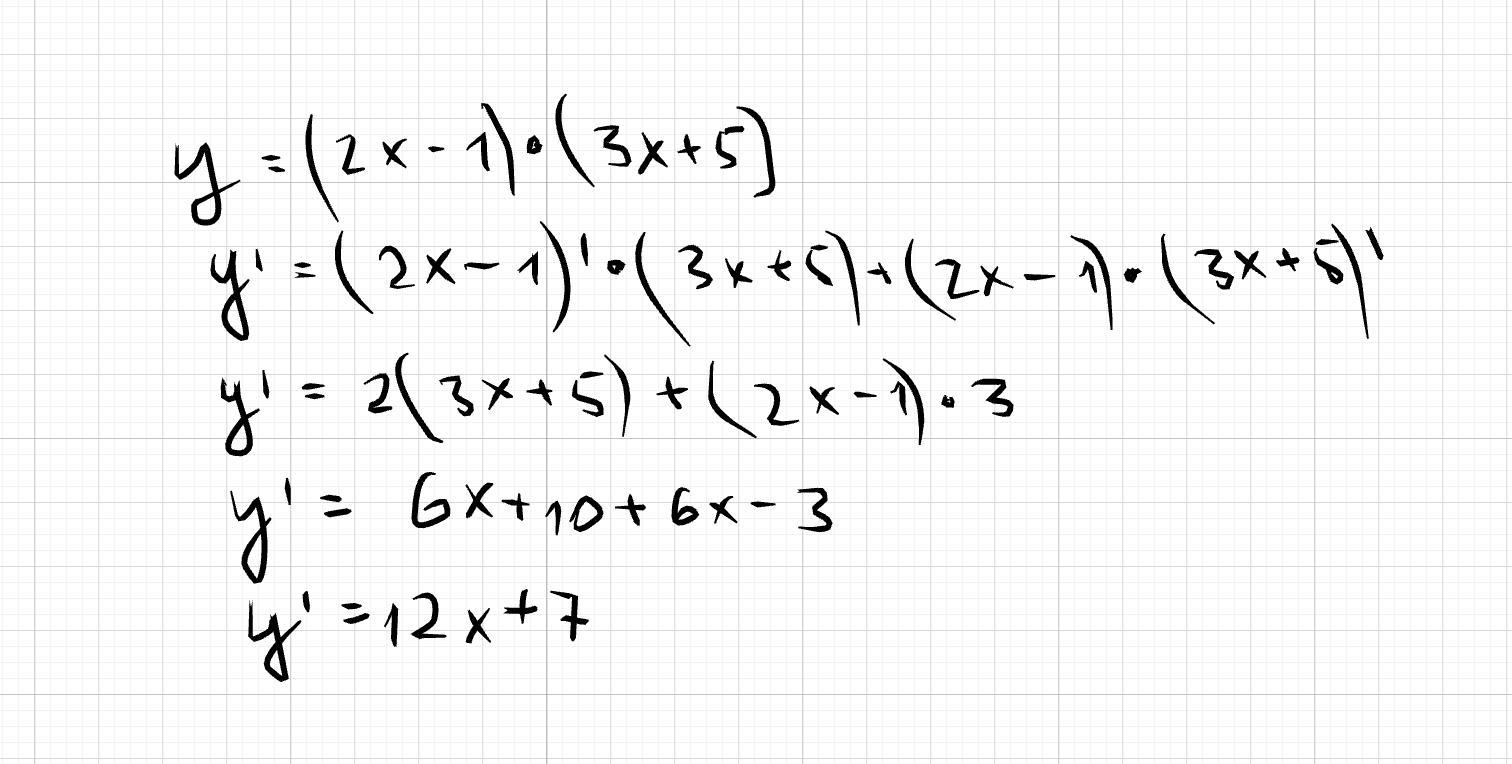
найти производную функции y=(2x-1)(3x+5)​

Ответы

Ответ дал: broomspun1
1

Ответ:

дай лучший ответ пж

Объяснение:

Приложения:

broomspun1: знаю, братан
Вас заинтересует