• Предмет: Алгебра
  • Автор: Аноним
  • Вопрос задан 2 года назад

Алгебра. Даю 10 балів.

Виконати 1 завдання.

Приложения:

Ответы

Ответ дал: dashulka22222
0

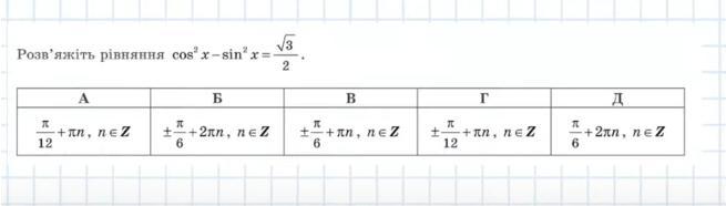
Ответ:

В

Объяснение:

cos2x=√3/2

2х=плюс мінус π/3+2πk, kєZ

х=(1/2)(+-π/3)+πk, kєZ

Вас заинтересует