• Предмет: Химия
  • Автор: mehriniso06
  • Вопрос задан 2 года назад

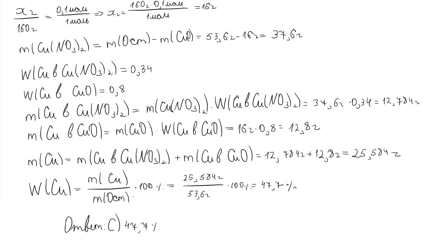
После прокаливания 75,2 г Cu(No3)2, масса остатка стала равной 53,6 г. Определите массовую долю (%) меди в данном остатке.
А)31,84 В)63,68 С)47,76 Д)23,88​

Ответы

Ответ дал: Abubachir555
2

Удачи!!!!!!!!!!!!!!!!!!!!!!!!!!!!!!!!!!!!!

Приложения:

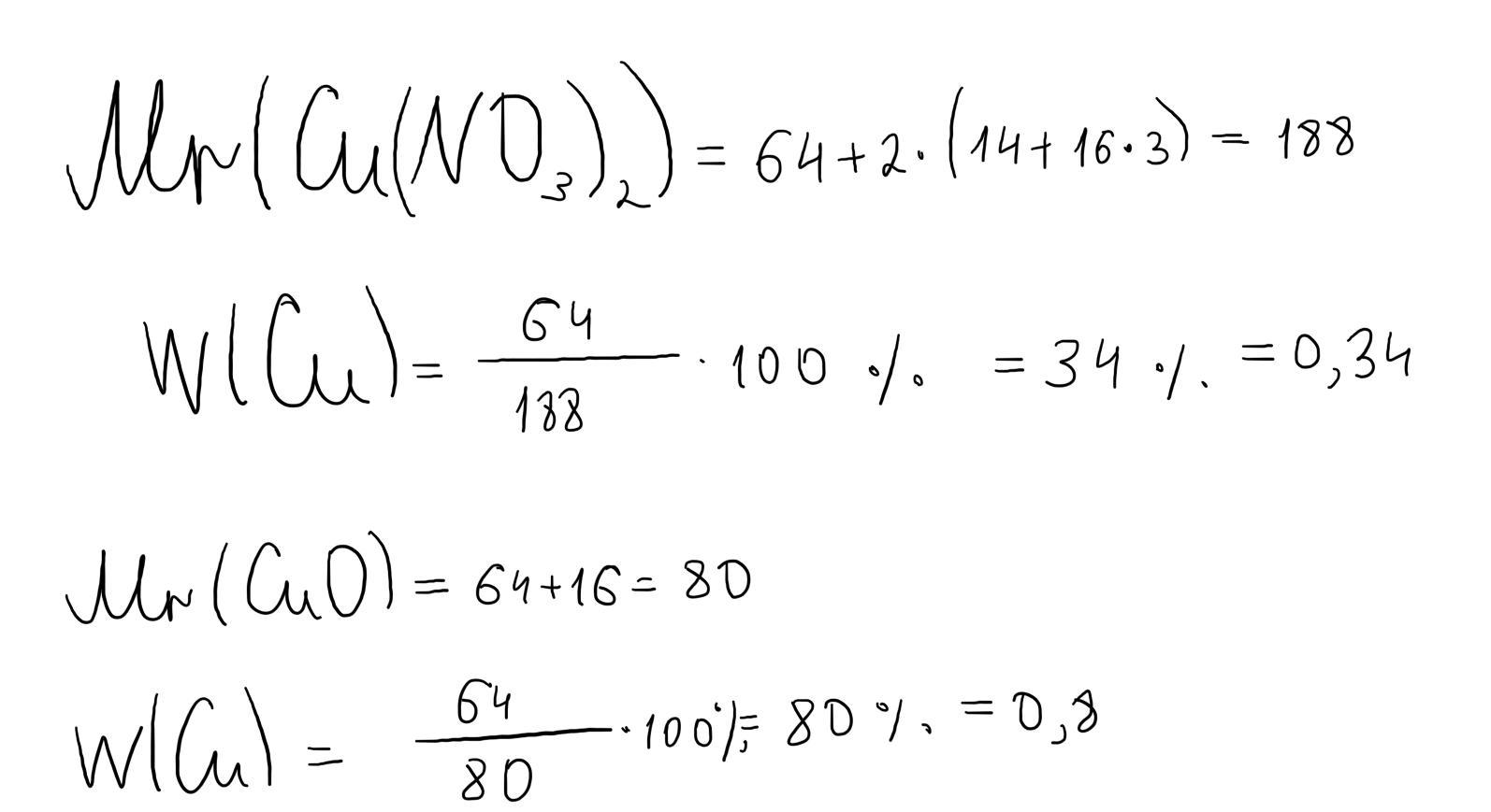
mehriniso06: массовую долю Cu в Cu(No3)2 как нашли?
Abubachir555: ща скажу
Abubachir555: добавил отдельным файлом
Abubachir555: посмотри
mehriniso06: большое спасибо))
Вас заинтересует