• Предмет: Математика
  • Автор: janga999
  • Вопрос задан 2 года назад

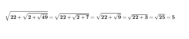
сколько будет корень из 22 + корень из 2 + корень из 49


Аноним: Привіт, напиши мені в інсту, кину відповідь, andriicoval

Ответы

Ответ дал: NNNLLL54
1

Ответ:

Вычислить значение выражения .

\bf \sqrt{22+\sqrt{2+\sqrt{49}}}=\sqrt{22+\sqrt{2+7}}=\sqrt{22+\sqrt{9}}=\sqrt{22+3}=\sqrt{25}=5

Приложения:
Вас заинтересует