• Предмет: Математика
  • Автор: adilprostoi
  • Вопрос задан 2 года назад

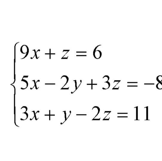
Метод Крамер пожалуйста люди

Приложения:

Ответы

Ответ дал: nurasel72
0

Ответ:

надеюсь помог тебе

жыыдды

Приложения:
Вас заинтересует