• Предмет: Математика
  • Автор: tursynkozau
  • Вопрос задан 2 года назад

помогите пожалуйста ​

Приложения:

Ответы

Ответ дал: NNNLLL54
0

Ответ:

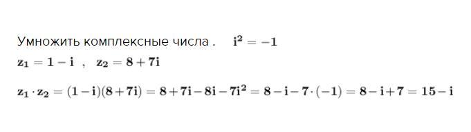
Умножить комплексные числа .     \bf i^2=-1  

\bf z_1=1-i\ \ ,\ \ z_2=8+7i\\\\z_1\cdot z_2=(1-i)(8+7i)=8+7i-8i-7i^2=8-i-7\cdot (-1)=8-i+7=15-i  

Приложения:

Аноним: NNNLLL54, здравствуйте! у меня в профиле 2 задания по алгебре, можете помочь пожалуйста?
Вас заинтересует