• Предмет: Математика
  • Автор: shakalmini
  • Вопрос задан 2 года назад

Спасибо большое за помощь ​

Приложения:

Ответы

Ответ дал: telikmilk
1

Пошаговое объяснение:

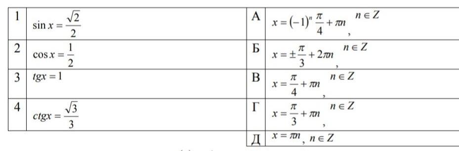
1-А

2-Б

3-В

4-Г

Був радий допомогти !

Наперед дякую за ♛


shakalmini: дякую
Вас заинтересует