• Предмет: Физика
  • Автор: zemlyanskayaalbina
  • Вопрос задан 2 года назад

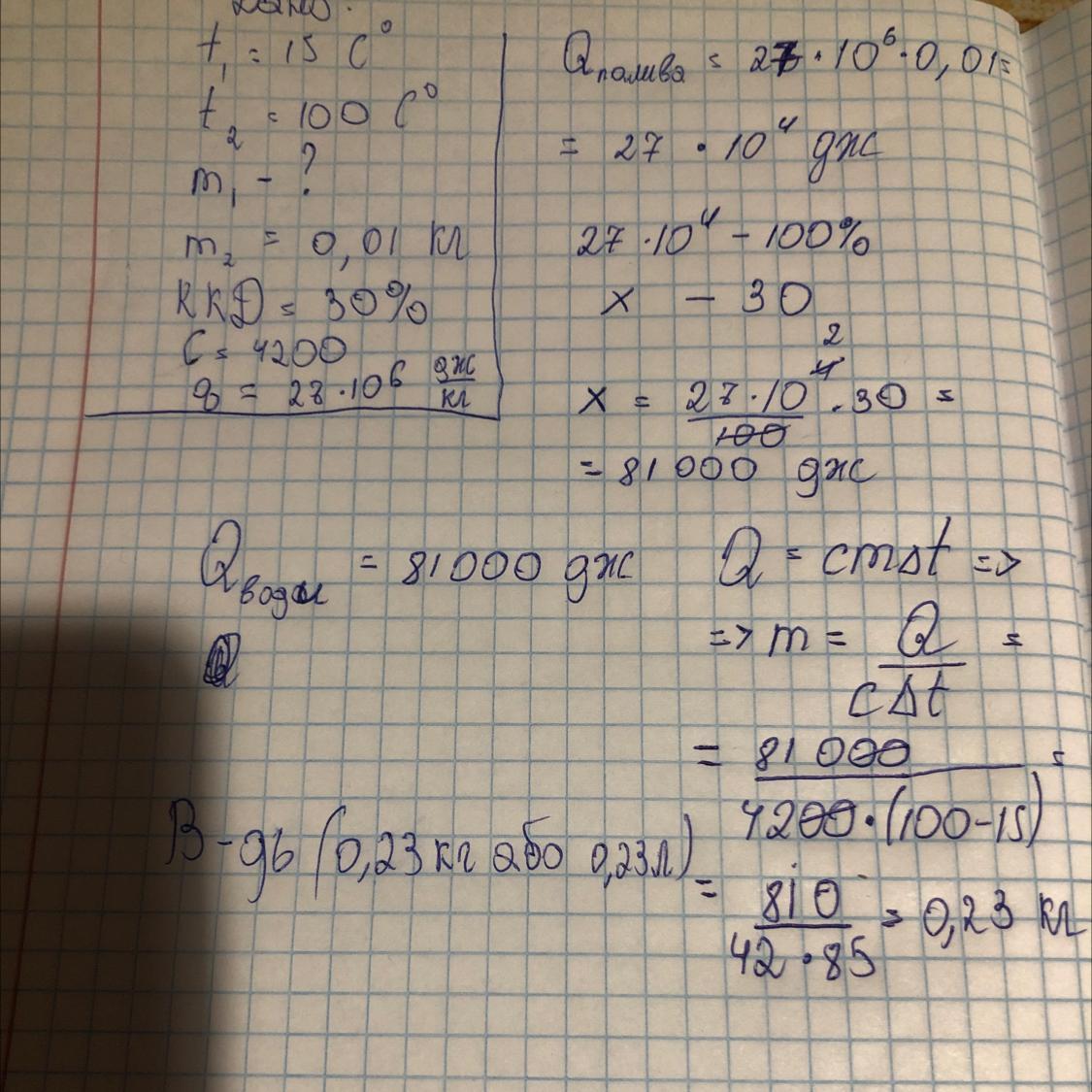
Скільки води, взятої при 15°C, можна нагріти до кипіння, спаливши 10г спирту, якщо ККД спиртівки дорівнює 30%?​

Ответы

Ответ дал: KOtikwe
1

Ответ:

Ответ 0,23 кг

Объяснение:

Приложения:
Ответ дал: bezbab0b
0
Не знаю, число мені не подобається яке вийшло, тому перечитайте умову на всяк випадок
Приложения:
Вас заинтересует