• Предмет: Геометрия
  • Автор: ilask85414
  • Вопрос задан 2 года назад

5-задание Если ã{-4; 1} и Ђ{-1; 2], то найдите длину вектора c = (5ã + 3b) - = (9ã – 6б) - [5]​

Ответы

Ответ дал: NNNLLL54
1

Ответ:

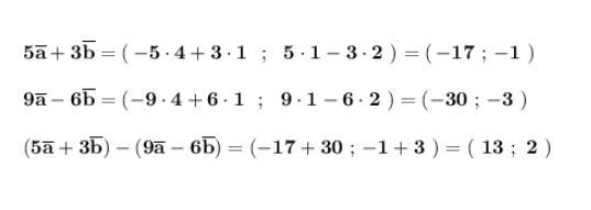
\bf \overline{a}=(-4;1)\ ,\ \ \overline{b}=(-1;2)  

Чтобы найти координаты линейной комбинации векторов, надо составить такие же линейные комбинации из соответствующих координат заданных векторов .

\bf 5\overline{a}+3\overline{b}=(\, -5\cdot 4+3\cdot 1\ \ ;\ \ 5\cdot 1-3\cdot 2\ )=(\, -17\ ;\, -1\ )\\\\9\overline{a}-6\overline{b}=(-9\cdot 4+6\cdot 1\ \ ;\ \ 9\cdot 1-6\cdot 2\ )=(-30\ ;\, -3\ )\\\\(5\overline{a}+3\overline{b})-(9\overline{a}-6\overline{b})=(-17+30\ ;\, -1+3\ )=(\ 13\ ;\ 2\ )    

Приложения:

Аноним: NNNLLL54, здравствуйте! у меня в профиле 5 вопросов по алгебре с параметрами, можете помочь пожалуйста?
ilask85414: мне кажется что это не правильно
ilask85414: мне кажется что это не правильно
NNNLLL54: когда кажется, креститься надо
Вас заинтересует