Ответы
Ответ дал:
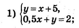
1
Відповідь:
Пояснення:
Приложения:

maksimerko20:
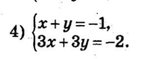
я безмерно благодарен вам, там еще второе задание, на второй фотке. можете решить?
Вас заинтересует
1 год назад
1 год назад
1 год назад
2 года назад
2 года назад
8 лет назад