• Предмет: Химия
  • Автор: elyadropbled
  • Вопрос задан 1 год назад

помогите пожалуйста дам 20 баллов

Приложения:

Аноним: Привіт, напиши мені в інсту, кину відповідь, andriicoval

Ответы

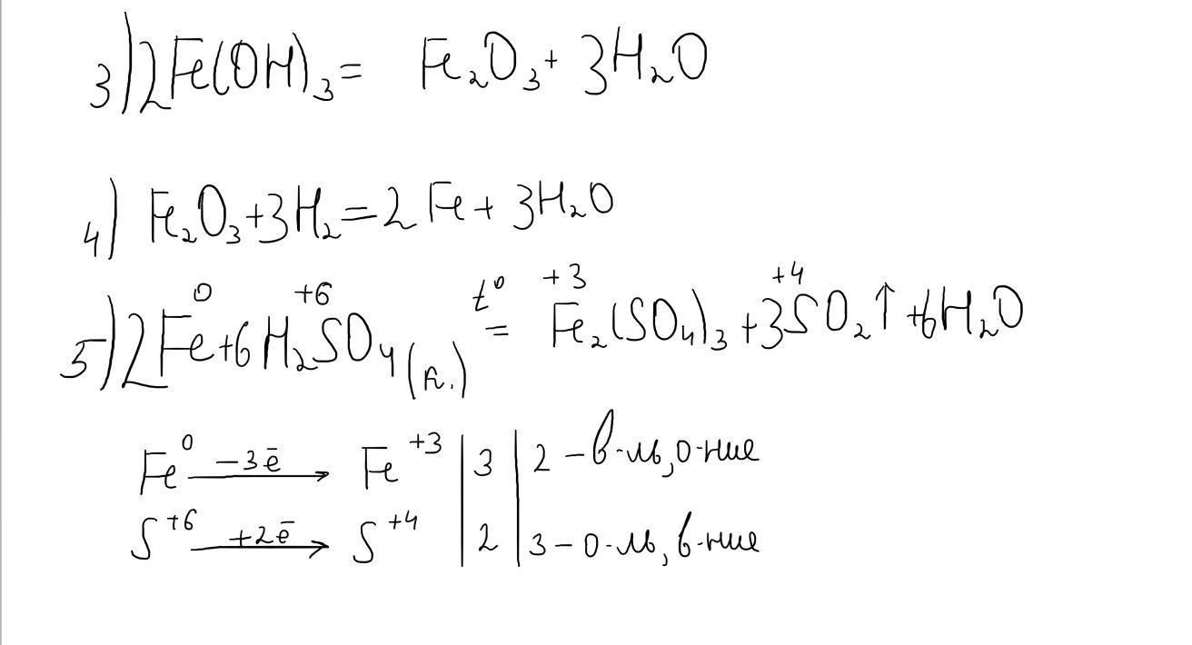
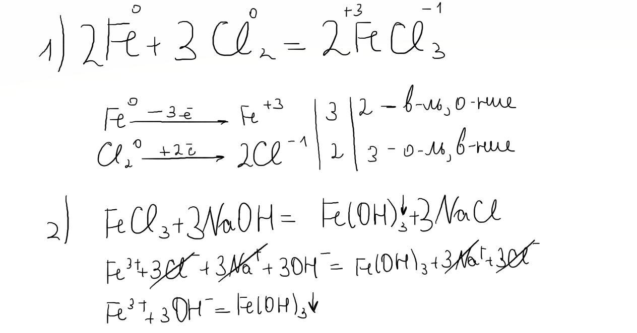
Ответ дал: Abubachir555
1

Удачи!!!!!!!!!!!!!!!!!!!!!!!!!!!!!!!!

Приложения:
Вас заинтересует