• Предмет: Математика
  • Автор: runoreid
  • Вопрос задан 2 года назад

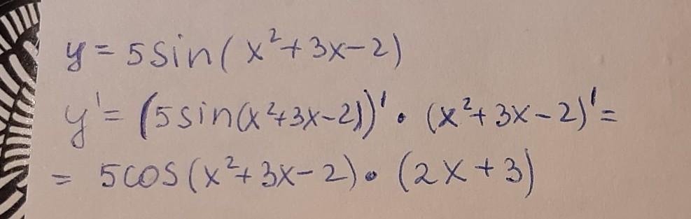
найти производную f(x)=5sin(x^2+3x-2)​

Ответы

Ответ дал: AnnaBerezan
1

Ответ:

Пошаговое объяснение:

Правило дифференцирования синуса: d/dx(sin(u)) = cos(u) * du/dx

Применяя правило дифференцирования синуса к нашей функции, получим: f'(x) = 5 * cos(x^2 + 3x - 2) * (d/dx(x^2 + 3x - 2))

Теперь найдем производную d/dx(x^2 + 3x - 2) по отдельности:

d/dx(x^2 + 3x - 2) = 2x + 3

Подставим это обратно в исходное уравнение:

f'(x) = 5 * cos(x^2 + 3x - 2) * (2x + 3)

Таким образом, производная функции f(x) = 5sin(x^2 + 3x - 2) равна f'(x) = 5 * cos(x^2 + 3x - 2) * (2x + 3).

Ответ дал: сок111213
1

Решение на прикреплённой фотографии

Приложения:
Вас заинтересует