• Предмет: Алгебра
  • Автор: arturzemko2018
  • Вопрос задан 2 года назад

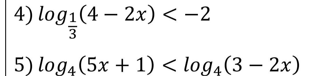
Логарифмічні рівняння і нерівності
Завдання на фото

Приложения:

Ответы

Ответ дал: MizoriesKun
1

Смотри..................

Приложения:

Universalka: В пятом задании ошибка при нахождении ОДЗ .
MizoriesKun: Поправила, спасибо
alice12324: допоможіть будь ласка.​
https://znanija.com/task/53181626?utm_source=android&utm_medium=share&utm_campaign=question
Вас заинтересует