• Предмет: Алгебра
  • Автор: lackypix
  • Вопрос задан 2 года назад

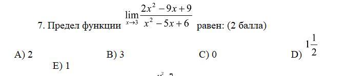
Помогите! Меня преследует Предел функции

Приложения:

Ответы

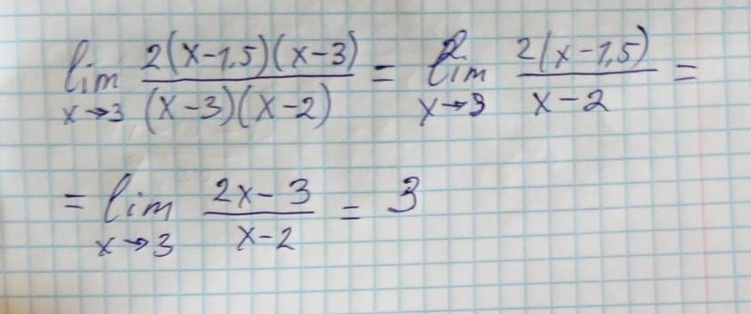
Ответ дал: ruslanshimchuk
1

Объяснение:

пполоааошльпааоиааооаапллироо

Приложения:
Вас заинтересует