• Предмет: Математика
  • Автор: sergiodarker1
  • Вопрос задан 1 год назад

Помогите пожалуйста с решением

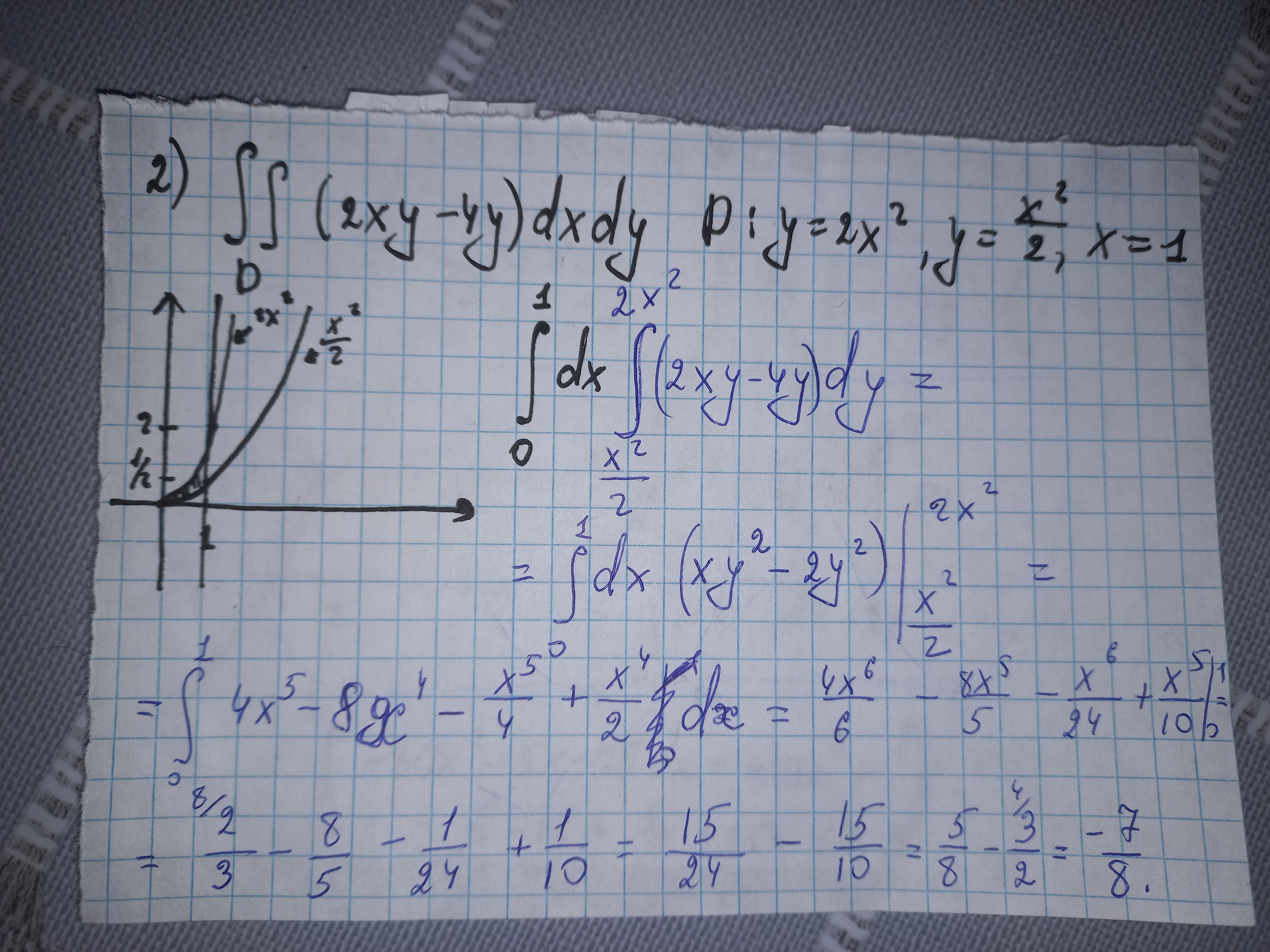
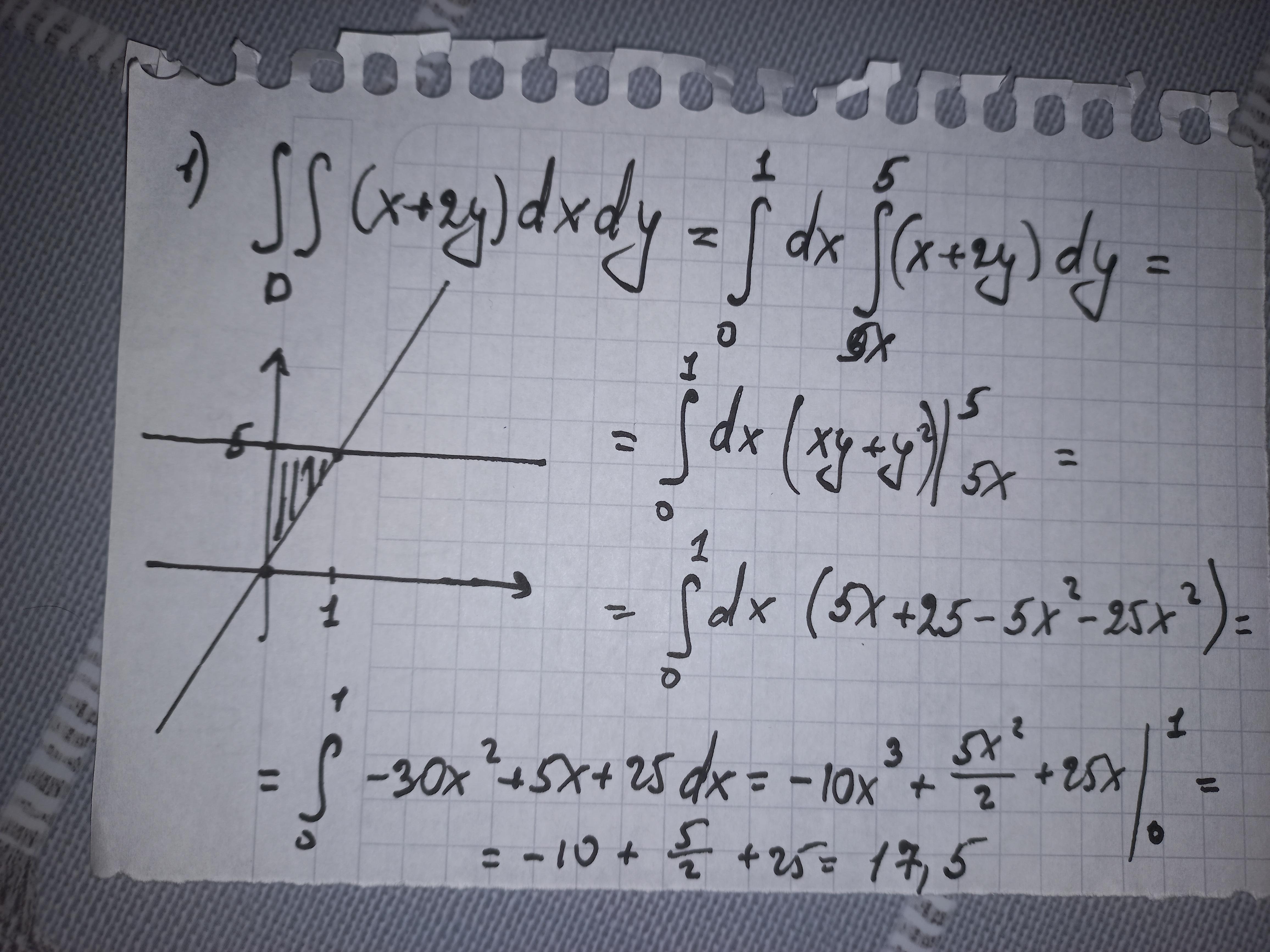
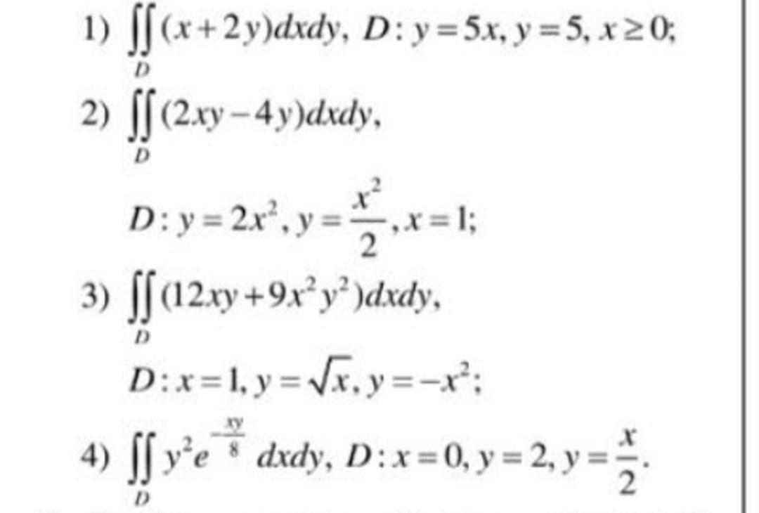
Приложения:

NNNLLL54: многовато примеров, да ещё и всего 5 баллов
sergiodarker1: К сожалению больше нету, а это вопросы к зачёту
NNNLLL54: это огромный текст в каждом примере , кто будет писать ?
NNNLLL54: можно было разбить хотя бы по 2 примера, у вас есть 35 баллов
qulievaruqayya61: Я сейчас отправлю решения

Ответы

Ответ дал: qulievaruqayya61
1

Ответ:

на фото

Пошаговое объяснение:

На фото

Приложения:

sergiodarker1: Спасибо вам большое
qulievaruqayya61: Пожалуйста
Вас заинтересует