• Предмет: Математика
  • Автор: mangleanimatronik112
  • Вопрос задан 2 года назад

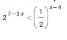
СРОЧНО ПОМОГИТЕ! НУЖНО РЕШИТЬ НЕРАВЕНСТВО!

Приложения:

Ответы

Ответ дал: noeniy
1

Ответ:

Пошаговое объяснение:

Приложения:
Ответ дал: сок111213
1

Решение на прикреплённой фотографии

Приложения:
Вас заинтересует