• Предмет: Математика
  • Автор: avoidskm02
  • Вопрос задан 2 года назад

Найти площадь фигуры ограниченной кривыми y = x^2, y = -x​

Ответы

Ответ дал: NNNLLL54
1

Ответ:

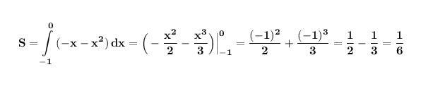
Найти площадь фигуры ограниченной линиями  \bf y=x^2\ ,\ y=-x   .

Вычислим с помощью определённого интеграла .

\bf \displaystyle S=\int\limits_{-1}^0\, (-x-x^2)\, dx=\Big(-\frac{x^2}{2}-\frac{x^3}{3}\Big)\Big|_{-1}^0=\frac{(-1)^2}{2}+\frac{(-1)^3}{3}=\frac{1}{2}-\frac{1}{3}=\frac{1}{6}  

Приложения:
Вас заинтересует