Ответы
Ответ дал:
1
Ответ:
Вычислить интегралы .
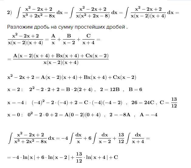
Интегрирование рациональных дробей .
Разложим дробь на сумму простейших дробей .
Приложения:


Вас заинтересует
1 год назад
1 год назад
1 год назад
2 года назад