помогите сдлеать блок схему, прошу!!!

Приложения:

Ответы

Ответ дал: TemaZpro
1

Прикрепил изображение блок-схемы.

Код на языке Python:

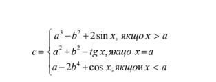
import math

def calculate_c(a, b, x):

   if x > a:

       c = a**3 - b**2 + 2*math.sin(x)

   elif x == a:

       c = a**2 + b**2 - math.tan(x)

   else:

       c = a - 2*b**4 + math.cos(x)

   

   return c

a = float(input("Введите значение a: "))

b = float(input("Введите значение b: "))

x = float(input("Введите значение x: "))

result = calculate_c(a, b, x)

print(f"c = {result}")

Приложения:
Вас заинтересует