• Предмет: Математика
  • Автор: youngbombik
  • Вопрос задан 1 год назад

хелп меее плс
развернутыйотет нада​

Приложения:

Ответы

Ответ дал: ildar502020
0

Ответ:

Пошаговое объяснение:

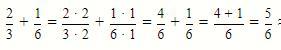
a)  2/3 + 1/6 = (2*2)/(3*2) + 1/6 = 4/6 +1/6 = 5/6.

б)  -1/3+2/5 = (-1*5)/(3*5) + (2*3)/(5*3) = -5/15 + 6/15 = 6/15 - 5/15 = 1/15.

b)  -3/4 * (-2/5) = (3*2)/(4*5) = 6/20 = 3/10 = 0.3.

г)  7/8 : (-5/6) = 7/8 * (-6/5) = -(7*6) / (8*5) = -42/40 = -21/20 = -1.05.

Ответ дал: denisshevvchenkoo
0

Ответ:

а)\frac{5}{6}=5\6

б)\frac{1}{15}=1\15

дальше на фото

Приложения:

fctdgsygfdhngfxzgsac: denisshevvchenkoo, привіт) можете будь ласка допомогти? якщо є вільний час, я можу скинути посилання на свої запитання
Вас заинтересует