• Предмет: Алгебра
  • Автор: ivanperesunko913
  • Вопрос задан 2 года назад

Помогите пожалуйста, у меня 15 минут

Приложения:

Ответы

Ответ дал: Universalka
0

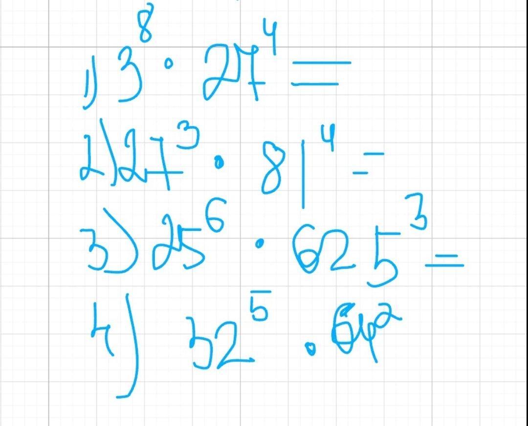
\displaystyle\bf\\1)\\\\3^{8} \cdot 27^{4} =3^{8} \cdot (3^{3}) ^{4} =3^{8} \cdot 3^{12} =3^{8+12} =3^{20} \\\\2)\\\\27^{3} \cdot 81^{4} =(3^{3} )^{3} \cdot (3^{4}) ^{4} =3^{9} \cdot 3^{16} =3^{9+16} =3^{25} \\\\3)\\\\25^{6} \cdot 625^{3} =25^{6} \cdot (25^2)^{3} =25^{6} \cdot 25^{6} =25^{6+6} =25^{12}\\\\4)\\\\32^{5} \cdot 64^{2} =(2^5)^{5} \cdot (2^6)^{2} =2^{25} \cdot 2^{12} =2^{25+12} =2^{37}

Вас заинтересует