• Предмет: Алгебра
  • Автор: mashayaremenko2000
  • Вопрос задан 2 года назад

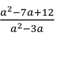
Скоротіть дріб:
Додаю фотографію

Приложения:

Ответы

Ответ дал: сок111213
2

По теореме Виета:

x^{2} +bx+c=0\\x_{1} +x_{2} =-b\\x_{1} x_{2} =c

a^{2} -7a+12=0\\a_{1} +a_{2} =7\\a_{1} a_{2} =12\\a_{1} =3\\a_{2} =4\\a^{2} -7a+12=(a-3)(a-4)

\frac{a^{2} -7a+12}{a^{2} -3a} =\frac{(a-3)(a-4)}{a(a-3)} =\frac{a-4}{a}

Вас заинтересует