• Предмет: Математика
  • Автор: antongolos2006
  • Вопрос задан 2 года назад

Дано вершини трикутної піраміди ABCD, А(– 4; 2; 1), В (– 1; 5; 4), С(– 2; – 4; 5), D(1; 2; –7)

Засобами векторної алгебри та аналітичної геометрії знайти площу грані АВС.

Ответы

Ответ дал: NNNLLL54
1

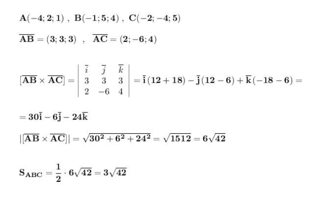
Ответ:   \bf S_{ABC}=3\sqrt{42}  .

Площадь грани АВС найдём как половину модуля векторного произведения векторов АВ и АС .

\bf A(-4;2;1)\ ,\ B(-1;5;4)\ ,\ C(-2;-4;5)\\\\\overline{AB}=(3;3;3)\ \ ,\ \ \overline{AC}=(2;-6;4)\\\\\\{}[\overline{AB}\times \overline{AC}]=\left|\begin{array}{ccc}\overline{i}&\overline{j}&\overline{k}\\3&3&3\\2&-6&4\end{array}\right|=\overline{i}\, (12+18)-\overline{j}\, (12-6)+\overline{k}\, (-18-6)=\\\\\\=30\overline{i}-6\overline{j}-24\overline{k}\\\\|[\overline{AB}\times \overline{AC}]|=\sqrt{30^2+6^2+24^2}=\sqrt{1512}=6\sqrt{42}\\\\\\S_{ABC}=\dfrac{1}{2}\cdot 6\sqrt{42}=3\sqrt{42}

Приложения:

antongolos2006: Поясніть будь ласка, як прокоментувати ці дужки де i,j,k та як отримали числа з цих дужок( так, я не знаю як це рахуеться). і як прокоментувати момент де модуль і в ньому квадратні дужки?
NNNLLL54: В квадратных скобках пишут векторное произведения векторов [АВхАС ] . Затем записан определитель, а потом раскрывают определитель по 1 строке и получают строчку с i , j , k . Модуль | [ABхAC] | - это длина вектора , являющегося векторным произведением векторов АВ и АС . Это аналитическая геометрия и векторная алгебра .
antongolos2006: спасибо
Вас заинтересует