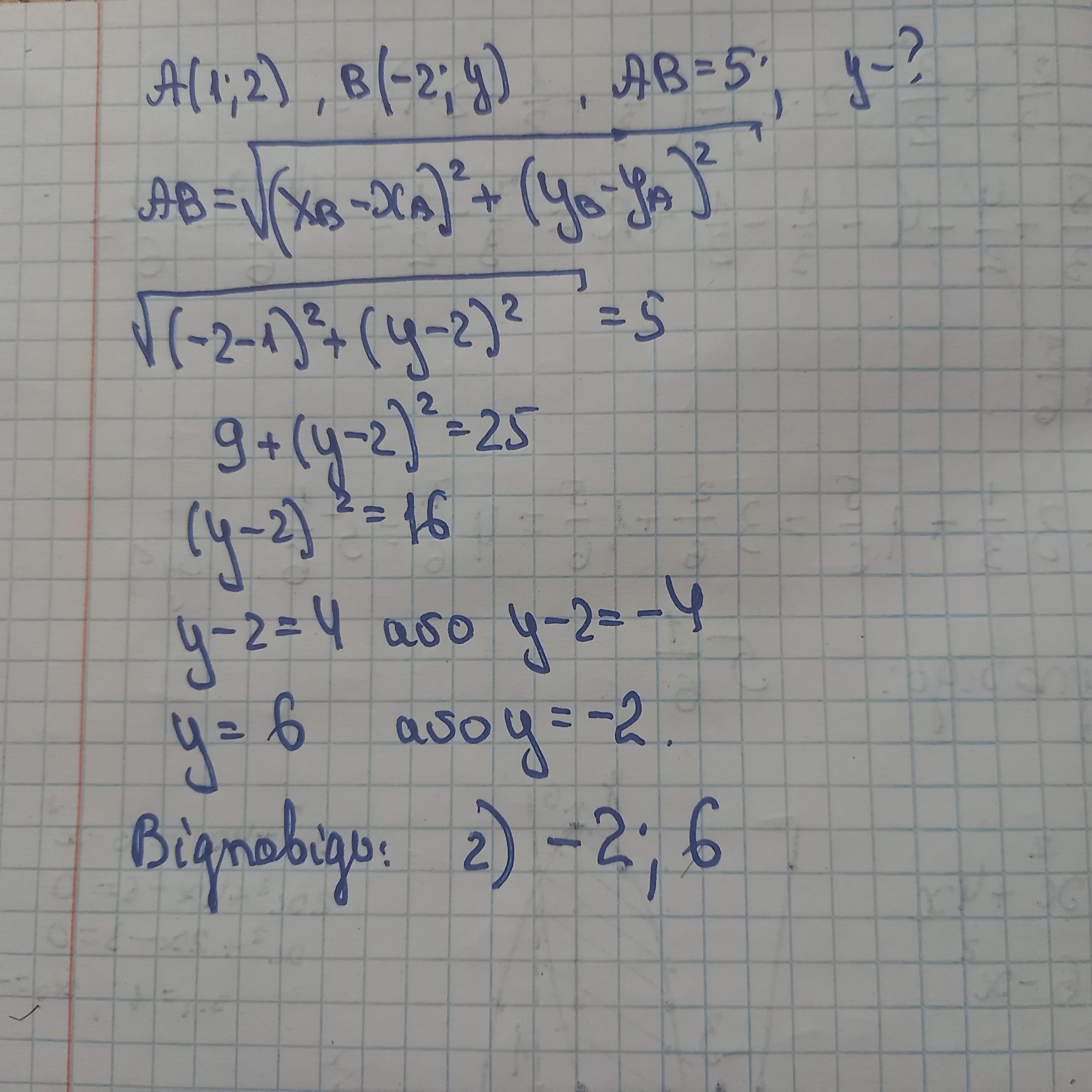
1.12. Відстань від точки А (1; 2) до точки В (- 2: у ) дорівнює 5. Знайдіть
значення у
A) - 6: 2:
5)-2:
B) 6:
г) - 2: 6.
Ответы
Ответ дал:
0
Відповідь: г)
Покрокове пояснення:
розв'язання завдання додаю
Приложения:
Вас заинтересует
2 года назад
2 года назад
2 года назад
2 года назад
3 года назад
3 года назад
9 лет назад