• Предмет: Алгебра
  • Автор: azurrodneyyy
  • Вопрос задан 2 года назад

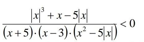
Розв'язати нерівність​

Приложения:

Ответы

Ответ дал: liliasurik4
1

Ответ:

!!!!!!!!!!!!!!!!!!!!!!!!!!!!!!

Приложения:
Вас заинтересует