• Предмет: Алгебра
  • Автор: danibylinin
  • Вопрос задан 2 года назад

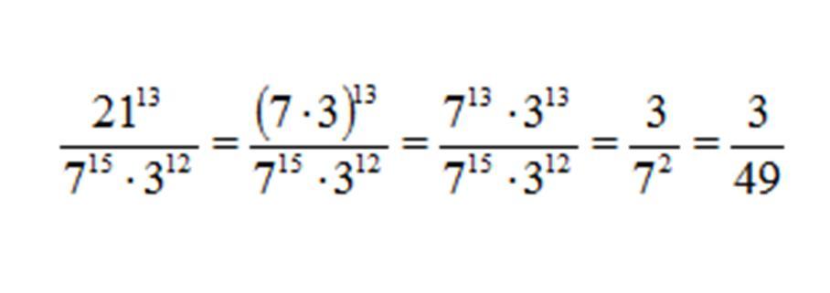
Решите 21^13/7^15*3^12

Ответы

Ответ дал: Санечка69
1

Ответ: 3/49.

Объяснение:

См. решение на рисунке

Приложения:
Ответ дал: juliadovbych
1

Ответ:

 \frac{ {21}^{13} }{ {7}^{15} \times  {3}^{12} }  =  \frac{ {7}^{13}  \times  {3}^{13} }{ {7}^{15}\times  {3}^{12} }    =  \frac{ {3}}{{7}^{2} }  =  \frac{3}{49}

Вас заинтересует