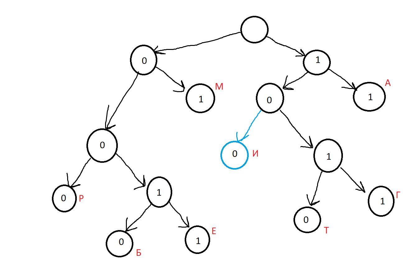
По каналу связи передаются сообщения, содержащие только восемь букв: А, Б, Г,
Е, И, М, Р, Т. Для передачи используется двоичный код, удовлетворяющий условию Фано. Кодовые слова для некоторых букв известны:
Приложения:

Ответы
Ответ дал:
0
Ответ:
100
Объяснение:
Для того, чтобы решить данную задачу, необходимо построить бинарное дерево, где корень у правого поддерева имеет значение 1, а корень у левого - 0. После того, как оно построилось, можно заметить, что только из одной вершины возможно только провести ещё одну вершину для буквы И (она обозначена синим цветом). И идя из корня дерева к листу, получается последовательность: 1-0-0=>100
Приложения:

Вас заинтересует
1 год назад
1 год назад
2 года назад
8 лет назад