• Предмет: Математика
  • Автор: KOTEHOKГАВ
  • Вопрос задан 2 года назад

решить дифференциальное уравнение

Приложения:

Ответы

Ответ дал: NNNLLL54
1

Ответ:

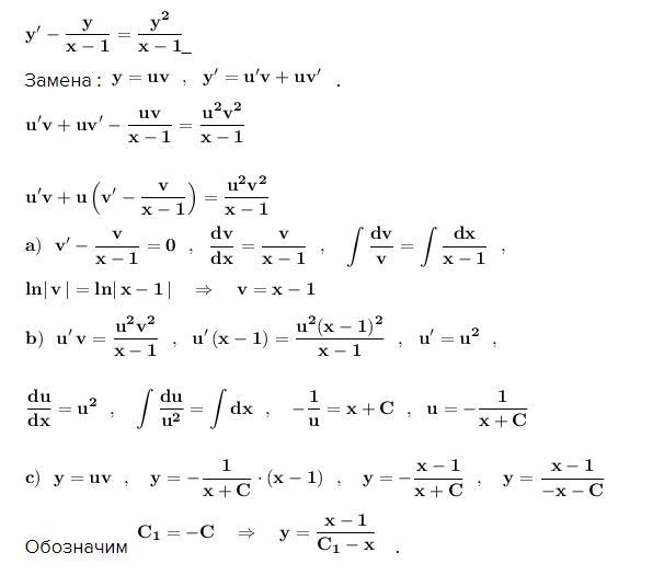
Решить дифференциальное уравнение 1 порядка . Это уравнение Бернулли .  Решаем с помощью замены .

\bf y'-\dfrac{y}{x-1}=\dfrac{y^2}{x-1}  

Замена :  \bf y=uv\ \ ,\ \ y'=u'v+uv'   .

\displaystyle \bf u'v+uv'-\frac{uv}{x-1}=\frac{u^2v^2}{x-1}\\\\\\u'v+u\, \Big(v'-\frac{v}{x-1}\Big)=\frac{u^2v^2}{x-1}\\\\a)\ \ v'-\frac{v}{x-1}=0\ \ ,\ \ \frac{dv}{dx}=\frac{v}{x-1}\ \ ,\ \ \ \int \frac{dv}{v}=\int \frac{dx}{x-1}\ \ ,\\\\ln|\, v\, |=ln|\, x-1\, |\ \ \ \Rightarrow \ \ \ v=x-1  

\displaystyle \bf b)\ \ u'\, v=\frac{u^2v^2}{x-1}\ \ ,\ \ u'\, (x-1)=\frac{u^2(x-1)^2}{x-1}\ \ ,\ \ u'=u^2\ \ ,\\\\\\\frac{du}{dx}=u^2\ \ ,\ \ \ \int \frac{du}{u^2}=\int dx\ \ ,\ \ \ -\frac{1}{u}=x+C\ \ ,\ \ u=-\frac{1}{x+C}\\\\\\c)\ \ y=uv\ \ ,\ \ \ y=-\frac{1}{x+C}\cdot (x-1)\ \ ,\ \ \ y=-\frac{x-1}{x+C}\ \ ,\ \ \ y=\frac{x-1}{-x-C}

Обозначим  \bf C_1=-C\ \ \ \Rightarrow \ \ \ y=\dfrac{x-1}{C_1-x}    .

Ответ:  №1 .

Приложения:

KOTEHOKГАВ: спасибо большое
Вас заинтересует