• Предмет: Математика
  • Автор: okayimkate
  • Вопрос задан 2 года назад

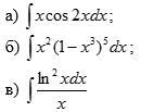
Вычислить неопределенные интегралы.

Приложения:

Ответы

Ответ дал: NNNLLL54
0

Ответ:

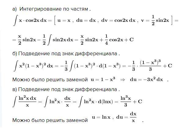
а)  Интегрирование по частям .

\bf \displaystyle \int x\cdot cos2x\, dx=\Big[\ u=x\ ,\ du=dx\ ,\ dv=cos2x\, dx\ ,\ v=\frac{1}{2}\, sin2x\ \Big]=\\\\\\=\frac{x}{2}\, sin2x-\frac{1}{2}\int sin2x\, dx=\frac{x}{2}\, sin2x+\frac{1}{4}\, cos2x+C  

б) Подведение под знак дифференциала .

\bf \displaystyle \int x^2(1-x^3)^2\, dx=-\frac{1}{3}\int (1-x^3)^2\cdot d(1-x^3)=-\frac{1}{3}\cdot \frac{(1-x^3)^3}{3}+C  

Можно было решить заменой  \bf u=1-x^3\ \ \Rightarrow \ \ du=-3x^2\, dx   .

в) Подведение под знак дифференциала .

\bf \displaystyle \int \frac{ln^2x\, dx}{x}=\int ln^2x\cdot \frac{dx}{x}=\int ln^2x\cdot d(lnx)=\frac{ln^3x}{3}+C  

Можно было решить заменой   \bf u=ln\, x\ ,\ du=\dfrac{dx}{x}    .            

Приложения:
Вас заинтересует