• Предмет: Математика
  • Автор: Ivannnkoo
  • Вопрос задан 2 года назад

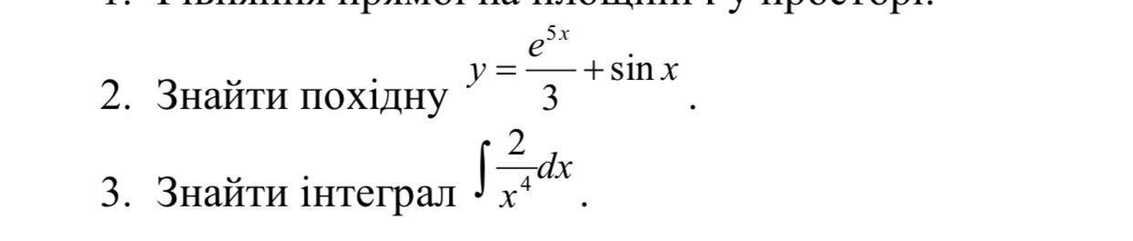
Знайти похідну

Знайти інтеграл

Приложения:

Ответы

Ответ дал: aarr04594
0

Відповідь: фото

Покрокове пояснення:

розв'язання завдання додаю

Приложения:
Вас заинтересует