• Предмет: Алгебра
  • Автор: yaelspasibo
  • Вопрос задан 2 года назад

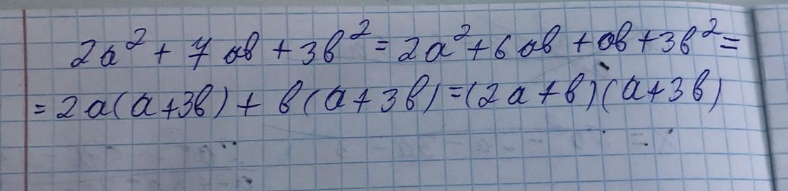
Разложите на множители 2a²+7ab+3b²

Ответы

Ответ дал: zhangirmedeubai
0
Ответ на картине……………
Приложения:
Вас заинтересует